欢迎访问江苏AG平台机械有限公司官网!
设为首页收藏AG平台
0523-88800659
电子样本下载
补偿器PRODUCT从事制造、销售、服务的机械型企业。经多年的努力,得到了广大客户的一致好评。
您现在的位置:首页 > AG平台·产品中心 > 补偿器
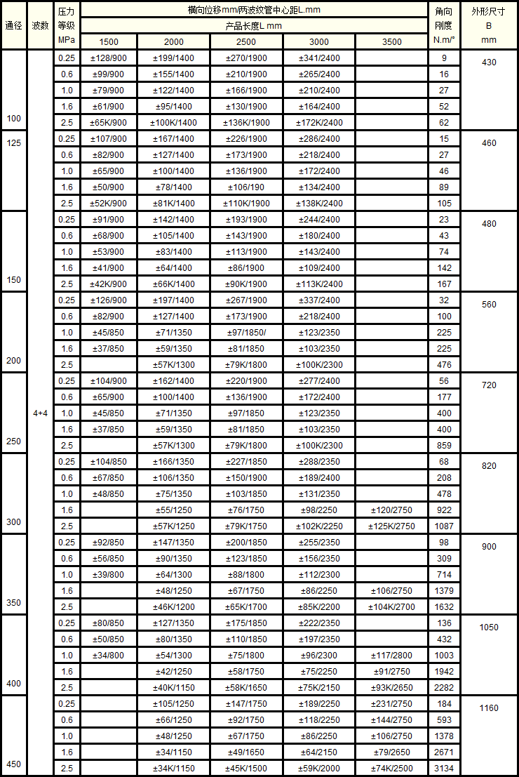
AG平台 复式铰链横向型波纹膨胀节
详细说明:


AG平台·产品型号:GDJHB

口径:DN100-DN2500

工作压力:0.25-2.5MPa

性能特点:该类膨胀节实际是用两个角向型膨胀节,用长的中间接管组合而成的。它可以吸收单平面方向上的横向曲位移。它们的铰链可以承受内压的推力。

cp-37b